基于LM386模数采集高通滤波特征提取的设计与实现
- 硬件
- STM32F103C8T6最小系统板
- 0.96寸 OLED数显屏
- LED*2
- 杜邦线若干
- ST-LINK V2数据传输线
- USB-TTL串口转接
二、软件
(1) Keil5 嵌入式版开发编程软件
(2) CUBEMX
(3) Vofa+ 串口(波形)调试助手
三、实现功能
(1)LM386将采集的模拟量数据转为数字量数据(采集与转换)

(2)通过设定滤波的fs与fc对原始数据进行处理,得到实时的Spike Raw。

(3)1、存储原始Spike信号到固定的数组变量中
2、设定阈值,筛选满足条件的输出值,每1ms对应20个采样点,每个采样点都对应一个输出值
3、每当Raster中有一个输出1,即记录+1,计算满足条件的总数采样个数

(4)计算Spike发放率,
- 演示效果
(1)硬件效果


(2)波形显示效果
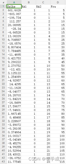
Spike:当前采样点经过滤波后的输出值
RA1:阈值判断输出值
RA2:满足阈值条件的输出值总和
Fra:当前时刻的Spike发放率

(3)存储数据显示


版权声明:本文内容由互联网用户自发贡献,该文观点仅代表作者本人。本站仅提供信息存储空间服务,不拥有所有权,不承担相关法律责任。如发现本站有涉嫌侵权/违法违规的内容, 请发送邮件至 举报,一经查实,本站将立刻删除。
如需转载请保留出处:https://bianchenghao.cn/bian-cheng-ji-chu/104729.html