

教学研讨所选素材大多来自国家教育资源公共服务平台、人教网等权威媒体,由网友推荐,阳光备课整合,仅供各位老师学习和研究,各部分版权归原作者所有。
▍来源:网络
一、教材分析
教材截图
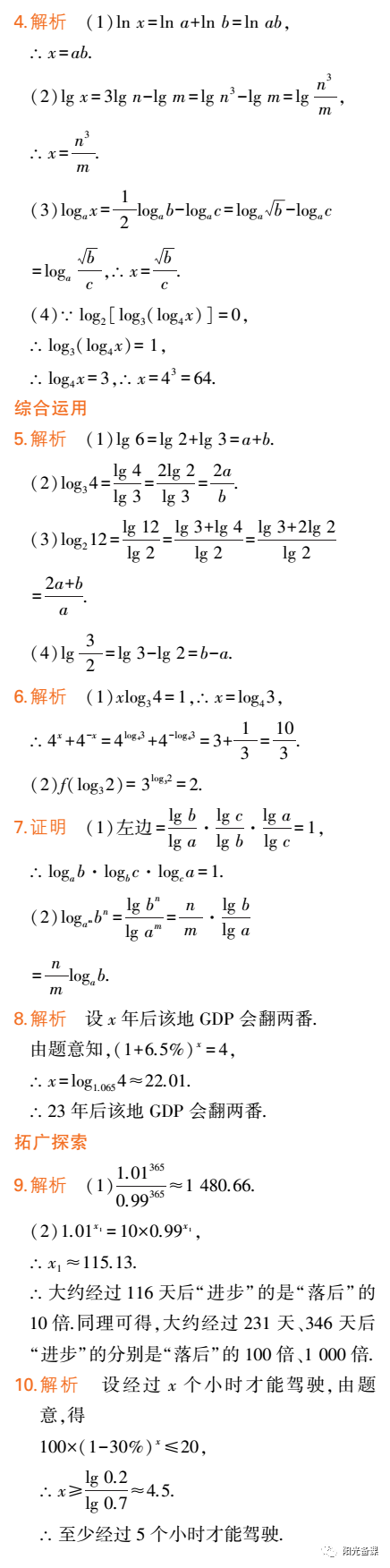
(考虑到部分教师未有2019版课本,这里对教材截个图)




教材分析:
1.内容:
对数的运算性质以及换底公式.
2.内容解析:
数及其运算是推动数学发展的重要源泉和动力之一,是数学的基石.在对数的概念中,我们了解到:指数与对数存在着不可分割的关系,因此对数运算与指数幂运算也是紧密相连的.
对数的运算性质是进行对数计算的重要依据.指数幂运算和对数运算是两类重要的运算,指数幂运算源于数的自乘,对数则是指数幂中指数的等价表示形式,因此,利用指数运算性质可以得出相应的对数运算性质:

上述对应关系可从下面的推导过程中实现:

对数概念的提出,进一步的完善了数学运算体系.在算术运算中,运算有等级之分,加法、减法为一级运算,乘法、除法为二级运算,乘方、开方、对数为三级运算.从上述对数运算性质中,我们可以清晰地认识到对数在处理运算中的降级特征:对数中真数的乘、除、乘方运算,可以转化为对数的加、减、乘法运算.当然,对于这一特征的理解,还是要结合指、对数的关系进行:在指数式中,真数即为幂,对数即为指数,指数幂运算中的“同底数幂相乘”即为“真数相乘”,“指数相加”即为“对数相加”.
数学史上,人们经过大量的努力,制作了常用对数表和自然对数表,只要通过查表就能求出任意正数的常用对数和自然对数.现在,利用计算工具,也可以直接求出任意正数的常用对数和自然对数.对数的换底公式是进行对数运算的重要基础,利用此公式可将其他底的对数转化为以10或e为底的对数,从而方便地求出这些对数.
因此,本节课的教学重点是:以“指数与对数的关系”为指引,学习和应用对数的运算性质以及换底公式.
二、目标与目标解析
1.目标:
(1)经历对数运算性质的形成过程,理解对数的运算性质,体会对数运算的降级特征;
(2)经历换底公式的形成过程,理解换底公式,体会换底公式在对数求值中的作用;
(3)可以利用对数的运算性质、换底公式解决问题,发展数学运算核心素养.
2.目标解析:
(1)学生知道对数的运算与指数幂运算的关系,能在明晰指数幂的运算性质的基础上推导得出对数的运算性质,在应用的过程中结合数学史的相关内容体会对数运算的降级特征,理解数学家发明对数的初衷;
(2)学生能指出换底公式的作用,能推导得出换底公式;
(3)学生会用对数的运算性质解决问题,能进行对数间的化简、运算,会用换底公式将一般对数转化成自然对数或常用对数.
三、教学问题诊断分析
本节课第一个学习难点是对数的运算性质的推导,学生对于对数的运算性质的困惑主要在于对于对数概念的不熟悉,为了解决此问题,还是要紧扣指、对数之间的关系,结合指数幂的运算性质进行学习.在三个运算性质中,教师可以引导第一个性质的推导,其余的性质由学生仿照得出,在推导的过程中,可以将指数幂和对数的运算性质对照列出,以便学生理解.
第二个学习难点是对数的换底公式的推导,教科书为此设计了一组探究活动.教学时,可以充分利用这组探究活动,使得学生逐步感受提出换底公式的必要性,经历由特殊到一般的过程推导得出换底公式.
四、教学重点、难点
重点:以“指数与对数的关系”为指引,学习和应用对数的运算性质以及换底公式.
难点:
1.对数的运算性质的推导;
2.对数的换底公式的推导;
五、数学学科素养
1.数学抽象:对数的运算性质;
2.逻辑推理:换底公式的推导;
3.数学运算:对数运算性质的应用;
4.数学建模:在熟悉的实际情景中,模仿学过的数学建模过程解决问题.
六、教学过程:见《研讨素材二》
相关:
1.教案精选 | 4.3.2 对数的运算 (2019版新教材)
2.课件精选 | 4.3.2.1 对数的运算(1)·课件Ⅱ(2019版新教材)
3.课件精选 | 4.3.2.2 对数的运算(2)·课件Ⅱ(2019版新教材)





























| 2.2.1对数与对数运算 |
| 2.2.2对数函数及其性质 |
相关(请点击标题阅读):
1.1集合的概念 (2019版新教材)
1.2集合间的基本关系(2019版新教材)
1.3.1集合的基本运算第1课时 并集、交集(2019版新教材)
1.3.2集合的基本运算第2课时 全集、补集(2019版新教材)
1.4 充分条件与必要条件(2019版新教材)
1.5.1 全称量词与存在量词(2019版新教材)
1.5.2 全称量词命题和存在量词命题的否定 (2019版新教材)
2.1 等式性质与不等式性质(2019版新教材)
2.2 基本不等式(2课时)(2019版新教材)
2.3 二次函数与一元二次方程、不等式 第1课时(2019版新教材)
2.3 二次函数与一元二次方程、不等式 第2课时(2019版新教材)
3.1.1 函数的概念 第1课时(2019版新教材)
3.1.1 函数的概念 第2课时(2019版新教材)
3.1.2 函数的表示法第1课时(2019版新教材)
3.1.2 函数的表示法 第2课时(2019版新教材)
3.2.1 函数的单调性与最大(小)值(2019版新教材)
3.2.2 函数的奇偶性(2019版新教材)
3.3 幂函数教学设计(2019版新教材)
4.1指数(第1课时)4.1.1 n次方根与分数指数幂(2019版新教材)
4.1指数(第2课时)4.1.2 无理数指数幂及其运算性质(2019版新教材)
4.2 指数函数 (2课时,单元教学设计 2019版新教材)
4.3.1 对数的概念(2019版新教材)
根据文末留言的要求,考虑到初三上高一学生预习的需要,这里提供教材的练习、习题及复习参考题等等习题答案,可能有错漏,仅供各位学生朋友参考。
相关:第一、第二章更多习题答案点此



END

全
文
完


-----全文到此为止。整理不易,如果喜欢,请点下“在看”和转发到朋友圈。

特别推荐(点下列标题进入):
A.数学教师必备 | 手机版《高中数学教学手册》,请收藏!
14.【学生课本·教师用书】13个学科67家出版社直接下载;
15.人教版教科书、教师用书电子版来啦!快快下载;
免责声明
【内容由网上搜索而来,由阳光备课整合,各部分版权归原作者所有,在此向作者致谢!摘录、转载,是想为经济欠发达地区教师提高业务水平做点事,仅此而已,如有侵权,请联系删除,谢谢!】

点击↓阅读原文↓更多!
版权声明:本文内容由互联网用户自发贡献,该文观点仅代表作者本人。本站仅提供信息存储空间服务,不拥有所有权,不承担相关法律责任。如发现本站有涉嫌侵权/违法违规的内容, 请发送邮件至 举报,一经查实,本站将立刻删除。
如需转载请保留出处:https://bianchenghao.cn/bian-cheng-ri-ji/45459.html