事件概率
事件
事件是指在某个试验或观察中可能发生的结果或结果的集合。是样本空间的一个子集,可以包含一个或多个样本点,也可以是整个样本空间。事件用大写字母,如 A,B,C 等表示。
概念
1.基本事件:基本事件是指试验中不可再分的最简单的事件。每个基本事件代表一个单一的可能结果。
2.复合事件:复合事件是由多个基本事件组合而成的事件。复合事件代表多个可能结果的集合。
3.必然事件:必然事件是指在试验中一定会发生的事件。必然事件的概率为1。在样本空间中,必然事件包括了样本空间中的所有样本点。
4.不可能事件:不可能事件是指在试验中绝对不会发生的事件。不可能事件的概率为0。通常用∅表示。
5.样本空间:样本空间是指试验中所有可能结果的集合。样本空间通常用大写字母 Ω 表示。
6.样本点:样本点是指样本空间中的每一个元素,即每一个可能的结果。样本点通常用小写字母ω表示。
事件间的关系
1.包含关系:包含关系是指一个事件是另一个事件的子集。如果事件 A 包含在事件 B 中,那么 A 发生时,B 必然发生,即:A⊆B
2.并集:并事件是指两个或多个事件中至少有一个事件发生的情况。事件 A 和事件 B 的并事件记作 A∪B或A+B,表示 A 或 B 发生。
3.交集:交事件是指两个或多个事件同时发生的情况。事件A 和事件 B 的交事件记作 A∩B或AB,表示 A 和 B 同时发生。
4.差集:如果事件 A 发生而事件 B 不发生,则表示这些事件的差集发生了。即将事件A中的A和B的公共部分去掉。
5.互斥事件:事件 A 和 B 的差集表示为 A−B 互斥事件是指两个事件不能同时发生。如果事件A 和事件 B 是互斥事件,那么 A 和 B 的交集为空集,即:AB=∅
6.对立事件:
对立事件是指两个事件互为对立,即一个事件发生时,另一个事件必然不发生。如果事件 A 和事件 B 是对立事件,那么 A 和 B 的并集是样本空间,且 A 和 B 的交集为空集,即:A+B=Ω且AB=∅.
互斥和对立事件的区别:
1.两个事件对立,则一定是互斥事件
2.互斥事件适用于多个事件,对立适用于两个事件
3.互斥事件,A和B不能同时发生,也可以都不发生;对立事件有且只有一个发生。
7.完备事件组
是一组事件,它们满足以下两个条件:
互斥性:完备事件组中的任意两个事件不能同时发生。也就是说,这些事件两两互斥。
完备性:完备事件组中的事件涵盖了样本空间中所有可能的结果,并且至少有一个事件必然发生。换句话说,这些事件的并集是整个样本空间,且它们的并集是必然事件。
运算律
1.交换律:
交换律是指事件的并集和交集运算满足交换性,即运算的顺序不影响结果。
并集的交换律:
A∪B=B∪A
交集的交换律:
A∩B=B∩A
2.结合律:
结合律是指事件的并集和交集运算满足结合性,即多个事件的运算顺序不影响结果。
并集的结合律:
(A∪B)∪C=A∪(B∪C)
交集的结合律:
(A∩B)∩C=A∩(B∩C)
3.分配律:
分配律是指事件的并集和交集运算满足分配性,即一个运算对另一个运算的分配关系。
并集对交集的分配律:
A∪(B∩C)=(A∪B)∩(A∪C)
交集对并集的分配律:
A∩(B∪C)=(A∩B)∪(A∩C)
4.对偶律:
对偶律是指事件的补集运算的对偶关系,即并集的补集和交集的补集之间的关系。
第一对偶律:

第二对偶律:

概率
1.定义
对于一个事件 A,其概率 P(A) 定义为:

2.古典模型
古典概率模型,也称为古典模型或等可能模型,是一种概率论中用于计算随机事件发生概率的方法。它基于以下假设:
有限性:样本空间是有限的,即所有可能的结果可以被列举出来。
等可能性:样本空间中的每个基本事件(样本点)出现的可能性是相等的。
在古典模型中,一个事件的概率可以通过以下公式计算:

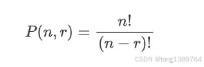
3.排列
排列的定义
给定一个包含 n 个元素的集合,从中选择 r 个不同元素(r≤n)进行排列,意味着这 r 个元素的顺序是重要的。
排列的符号
排列通常用 P(n,r)表示,读作“n 个中取 r个的排列数”。
排列的公式
排列数的计算公式是:

排列的计算
如果 r=n,即从 n 个元素中选择 n 个元素进行全排列,排列数为 n!。
如果 r=0,即从 n 个元素中选择 0 个元素进行排列,排列数为 1,因为空集的排列只有一种。
如果 r>n,排列数为 0,因为不可能从 n 个元素中选择超过 n 个元素。
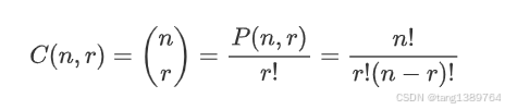
4.组合
给定一个包含 n 个元素的集合,从中选择 r 个不同元素(r≤n)进行组合,意味着这 r 个元素的顺序并不重要。
组合的符号
组合通常用
组合的公式

组合的性质
对称性:C(n,r)=C(n,n−r)
边界条件:C(n,0)=C(n,n)=1
当 r>n 时,C(n,r)=0
5.组合模型
几何概型是概率论中的一个基本概念,它用于处理那些结果可以被表示为几何区域(如线段、平面区域、立体区域等)的随机试验的概率问题。几何概型的基本思想是将概率问题转化为几何区域上的面积、体积或长度等几何量的比值。
6.频率
定义:频率是一个经验概念,它通过实际观察或实验来确定。频率是某个事件在一系列重复实验中发生的次数与总实验次数之比。
性质:频率的值可以是任何非负实数,包括0(事件一次也没发生)和任意正数(事件多次发生)。
计算:频率是通过实际计数得到的,例如,如果一个事件发生了 m 次,在 n次独立的重复实验中,其频率为 m/n。
不确定性:频率是随机的,它随着实验次数的增加而波动,但根据大数定律,当实验次数足够多时,频率会趋近于概率。
概率与频率的关系
大数定律:随着实验次数的增加,事件发生的频率趋近于其概率。
长期稳定性:在大量重复实验中,频率的稳定性可以作为概率的一个估计。
经验估计:在没有理论模型的情况下,可以通过频率来估计概率。
7.基本性质
非负性:对于任意事件 A,有 P(A)≥0。
规范性:必然事件的概率为1,即 P(Ω)=1。
可加性:对于互斥事件 A 和 B,有 P(A+B)=P(A)+P(B)。
性质1:P(∅)=0
性质2: 
性质3:
性质4:P(A+B)=P(A)+P(B)-P(AB)
注意:性质4是可加性的一般性描述,如果A和B互斥那么AB为空集,则P(AB)=0
另外性质4还适用于多个事件相加:

如果A、B、C是互斥事件:则P(AB)=P(AC)=P(BC)=P(ABC)=0
所以:

8.条件概率
条件概率用于描述在已知某一事件发生的情况下,另一事件发生的概率。条件概率通常表示为 P(A∣B),读作“在事件 B 发生的条件下,事件 A 发生的概率”。
定义
设Ω为样本空间, A和 B 是两个事件,且 P(B)>0。事件 A 在事件 B 发生的条件下的条件概率 P(A∣B) 定义为:

说明:
P(A):无条件概率,样本空间为Ω
P(A|B):条件概率,样本空间不再是Ω,而是B。
所以条件概率定义公式中P(B)为B事件发生的总事件数概率,P(A∩B)是在B发生的条件下A发生的事件概率,即A和B共同发生的事件概率
基本性质
-
非负性:对于任意事件 A和B,有 P(A|B)≥0。
-
规范性: P(Ω|B)=1。
-
可加性:对于互斥事件

乘法公式
条件概率的乘法公式是:

这个公式说明了事件 A 和事件 B 同时发生的概率等于事件 B 发生的概率乘以在 B 发生的条件下 A 发生的概率。
说明:以上公式可以理解为分几步走,第一步B发生的概率,第二步在B发生的前提下A发生的概率。
补充:如果有A、B、C事件

按照分几步走的逻辑:第一步A发生的概率,第二步在A发生的前提下B的概率,第三步在AB发生的前提下C的概率,相当于每一步都要以前一步作为发生条件。
9.全概率公式
假设事件 A1,A2,...,An 是样本空间 Ω 的一个完备事件组,即这些事件两两互斥,并且它们的并集是整个样本空间。如果我们想计算事件 B 的概率,可以使用全概率公式:

计算某一事件的总概率,通过将其分解为多个互斥事件的条件概率之和。

10.贝叶斯公式
贝叶斯公式描述了在已知其他条件概率的情况下,一个条件概率的计算方法。贝叶斯公式是逆概率理论的核心,它允许我们根据已知的某些概率来更新我们对另一个概率的信念。
定义
如果事件 B1,B2,...,Bn是样本空间 Ω 的一个完备事件组,即这些事件两两互斥且它们的并集是整个样本空间,那么对于任意事件 A,贝叶斯公式可以表示为:

其中:
-
P(Bi∣A) 是在事件 A 发生的条件下事件 Bi发生的条件概率(后验概率)。
-
P(A∣Bi)是在事件 Bi发生的条件下事件 A 发生的条件概率(似然度)。
-
P(Bi)是事件 Bi发生的边缘概率(先验概率)。
-
P(A)是事件 A 发生的边缘概率(先验概率),可以通过全概率公式计算得出:

说明:事件A理解为结果,在已知事件A的条件下,事件Bi发生的概率即为贝叶斯公式。
11.事件独立性
如果两个事件是独立的,那么一个事件的发生不会影响另一个事件发生的概率。
条件概率与独立性
如果事件 A 和事件 B 是独立的,那么事件 A 在事件 B 发生的条件下的条件概率 P(A∣B)等于事件 A 的先验概率 P(A):

由条件概率公式可知:

定义
设 A和 B 是两个事件。如果满足以下条件,则称事件 A 和事件 B 是独立的

其中:
P(AB)是事件 A 和事件 B 同时发生的概率(联合概率)。
P(A)是事件 A 发生的概率。
P(B) 是事件 B 发生的概率。
独立性的性质
对称性:如果 A 和 B 独立,那么 B 和 A 也独立。
传递性:如果 A 与 B 独立,且 B 与 C 独立,那么 A 与 C 独立(仅当这些事件的联合概率分布是乘性的)。
零概率事件:任何事件与零概率事件(P(A)=0)总是独立的。
对立事件:如果 A 与 B 独立,那么 A 与其对立事件
也独立。
定理
1.P(A)>0,P(B)>0,A、B独立的充分必要条件是P(AB)=P(A)⋅P(B)
2.P(A)>0,P(B)>0,互不相容和独立不会同时出现。
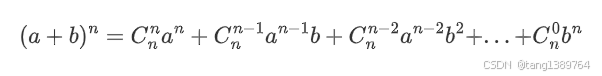
12.伯努利模型
设试验成功的概率为 p(0<p<1),失败的概率为 1−p,如果在n重伯努利实验中,成功k次的概率参数为 p 的伯努利分布。
伯努利分布的概率质量函数(PMF)为:

其中,k 是成功的次数,

是组合数,表示从n次试验中选择k次成功的不同方式。
上述公式也叫做二项概率公式。
该公式可以用于二项式的展开公式,如:

如果用二项概率公式展开:

随机变量与分布
定义
随机变量是一个从样本空间(所有可能结果的集合)到实数集的函数。样本空间中的每个结果都对应于随机变量的一个值。随机变量的值可以是离散的,也可以是连续的。随机变量通常用大写字母表示,如 X、Y 或 Z。
随机变量和事件的联系
定义事件:
事件可以定义为随机变量取特定值的集合。一般用{X=?}表示。
例如,如果随机变量 X 表示掷骰子的结果,那么事件 "掷得奇数" 可以表示为 {X=1} 或 {X=3}或 {X=5}。
使用随机变量描述事件:
随机变量的值可以定义复杂的事件。
例如,事件 "掷骰子的结果大于4" 可以表示为 {X>4},其中 X 是随机变量。
例如,掷硬币的结果为正面、反面,在数学中不方便描述,可以将正面映射为数字1,反面映射为0,那么事件"掷出正面"可以表示为{X=1},事件"掷出反面"可以表示为{X=0}。
概率分布:
随机变量的概率分布描述了它取每个可能值的概率。这个分布可以用来计算事件的概率。在随机变量表示的事件前加上P来表示:P{X=?}或者P(X=?)。
例如,随机变量 X 的概率质量函数(PMF)或概率密度函数(PDF)可以用来计算 P(X=k) 或 P(a<X<b)。
离散型随机变量及其概率分布
离散型随机变量的特点:
-
可数性:随机变量的取值是可数的,即有限个或可数无限个。
-
离散性:取值之间有“间隔”,不是连续变化的。
-
概率分布:每个取值都有一个特定的概率,且所有取值的概率之和等于1。
离散型随机变量的概率分布:
离散型随机变量的概率分布通常由概率质量函数(Probability Mass Function, PMF)描述。PMF 定义了随机变量每个可能取值的概率。
概率质量函数(PMF):
对于离散型随机变量 X,其概率质量函数为

,其中 x* 是 X 可能取的值。PMF 满足以下条件:
非负性:对于所有的 x,有 P(X=x)≥0。
归一性:所有可能取值的概率之和等于1,即


版权声明:本文内容由互联网用户自发贡献,该文观点仅代表作者本人。本站仅提供信息存储空间服务,不拥有所有权,不承担相关法律责任。如发现本站有涉嫌侵权/违法违规的内容, 请发送邮件至 举报,一经查实,本站将立刻删除。
如需转载请保留出处:https://bianchenghao.cn/bian-cheng-ji-chu/90995.html