数据结构是计算机中存储、组织数据的方式,数据元素之间存在一种或多种特定关系的数据元素集合。
1.逻辑结构
逻辑结构就是数据之间的关系,逻辑结构分为两大类:线性结构、非线性结构
线性结构
线性结构,是有序的数据元素的集合,数据元素之间存在1对1的线性关系
线性结构的特点:
1--->2--->3--->4--->5--->6
-
集合中必存在唯一的一个‘第一个元素’
-
集合中必存在唯一的一个‘最后的元素’
-
除最后元素之外,其他数据元素均有唯一的‘后继元素’
-
除第一元素之外,其他数据元素均有唯一的‘先驱元素’
常用的线性结构有:栈,队列,链表,线性表,字符串
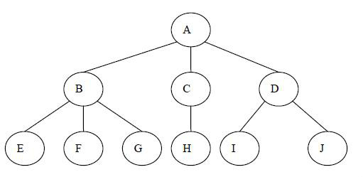
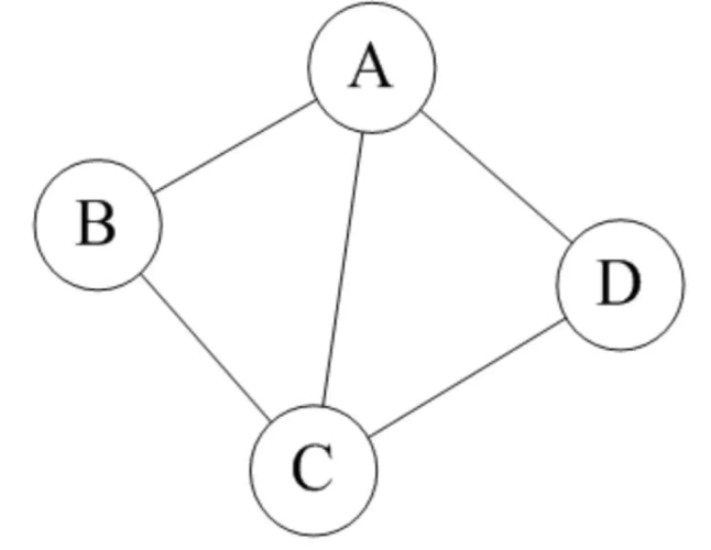
非线性结构
非线性结构这种各个数据元素不在保持在一个线性序列中
每个数据元素可能与0个或者多个其他数据元素发生联系,根据关系的不同,可分为层次结构和群结构
常见的非线性结构有:二维数组,多维数组,集合,树,图


2.存储结构
数据的存储结构是指数据的逻辑结构在计算机中的表示
我们都知道,数据元素之间的关系有两种不同的表示方法:顺序映像 和 非顺序映像
并由此得到两种不同的存储结构:顺序存储结构 和 链式存储结构
-
顺序存储方式就是在一块联系的存储区域,一个接着一个的存放数据。例如:数据在内存中的位置是连续的,它就属于顺序存储
-
链式存储方式比较灵活,不要求逻辑上相邻的结点在物理位置上相邻,节点间的逻辑关系由附加的引用字段来表示
-
链表是主动建立数据间的关联关系的,在内存中却不一定是连续的,它属于链式存储
-
顺序和逻辑上都不存在顺序关系的方式--散式存储存储方式是根据节点的关键字,直接计算出该节点的存储地址的一种存储方式
-
索引存储方式是采用附加的索引表的方式来存储节点信息的一种存储方式。
-
索引表由若干索引项组成,索引存储方式中索引项的一般形式为(关键字、地址)。其中关键字是能够唯一标识一个节点的数据项。
-
稠密索引:这种方式中每个节点在索引表中都有一个索引项,其中索引项的地址是其节点所在的存储位置。
-
稀疏索引:这种方式中一组节点在索引表中只对应一个索引项,索引项的地址是其一组节点的起始存储位置
-
-
在实际应用中,往往需要根据具体的数据结构来决定采用哪种存储方式。
版权声明:本文内容由互联网用户自发贡献,该文观点仅代表作者本人。本站仅提供信息存储空间服务,不拥有所有权,不承担相关法律责任。如发现本站有涉嫌侵权/违法违规的内容, 请发送邮件至 举报,一经查实,本站将立刻删除。
如需转载请保留出处:https://bianchenghao.cn/bian-cheng-ji-chu/91268.html